Nhân liên hợp là gì Khái niệm và cách ứng dụng giải toán hiệu quả
Tìm hiểu chi tiết nhân liên hợp là gì, các công thức cơ bản và phương pháp nhân chia liên hợp giúp giải quyết bài toán đại số nhanh chóng. Đọc ngay để nắm bắt!
Trong quá trình học toán đại số, việc xử lý các phương trình và bất phương trình chứa căn bậc hai thường gây không ít khó khăn cho học sinh. Một trong những công cụ mạnh mẽ nhất để vượt qua thử thách này chính là phương pháp nhân lượng liên hợp. Vậy thực chất Nhân liên hợp là gì và làm thế nào để áp dụng nó một cách hiệu quả nhất?

Bài viết này sẽ đóng vai trò như một cẩm nang chi tiết từ Trang chủ để giải đáp mọi thắc mắc của bạn về kỹ thuật này. Chúng ta sẽ cùng nhau đi từ những định nghĩa cơ bản nhất, khám phá các công thức quan trọng, cho đến việc áp dụng vào giải quyết các bài toán thực tế.
Giải thích chi tiết khái niệm nhân lượng liên hợp là gì
Trong đại số sơ cấp, khái niệm nhân lượng liên hợp là gì được hiểu là phép nhân giữa hai biểu thức có dạng tổng và hiệu. Biểu thức thứ hai chính là lượng liên hợp của biểu thức thứ nhất, được tạo ra bằng cách đổi dấu của số hạng thứ hai.

Khi thực hiện phép nhân này, chúng ta thường sử dụng hằng đẳng thức đáng nhớ số 3 là hiệu hai bình phương (a+b)(a-b) = a²-b². Kết quả của phép nhân sẽ làm triệt tiêu đi các dấu căn thức rườm rà, đưa biểu thức về dạng đơn giản và dễ tính toán hơn rất nhiều.
Tầm quan trọng của phương pháp nhân liên hợp là gì trong giải toán
Nhiều học sinh thường thắc mắc phương pháp nhân liên hợp là gì và tại sao nó lại được ứng dụng rộng rãi đến vậy. Thực tế, đây là một kỹ thuật biến đổi đại số cực kỳ quan trọng, đặc biệt khi giải các phương trình, bất phương trình hoặc tính giới hạn của hàm số chứa căn.

Bằng cách sử dụng phương pháp này, chúng ta có thể trục căn thức ở mẫu số, tạo ra các nhân tử chung để giải phương trình vô tỉ. Đây là một trong những kỹ năng cốt lõi mà bất kỳ ai muốn giỏi toán đều phải nắm vững.
Các công thức nhân chia liên hợp là gì và cách ghi nhớ
Để trả lời câu hỏi nhân chia liên hợp là gì trong thực hành, chúng ta cần nắm vững các công thức cơ bản. Dưới đây là những biểu thức liên hợp thường gặp nhất mà bạn cần ghi nhớ để áp dụng linh hoạt.

Lượng liên hợp của biểu thức chứa căn bậc hai dạng (√A - B) chính là (√A + B). Khi nhân hai lượng này với nhau, ta sẽ được (√A)² - B² = A - B². Tương tự, lượng liên hợp của (√A - √B) là (√A + √B), cho kết quả A - B.

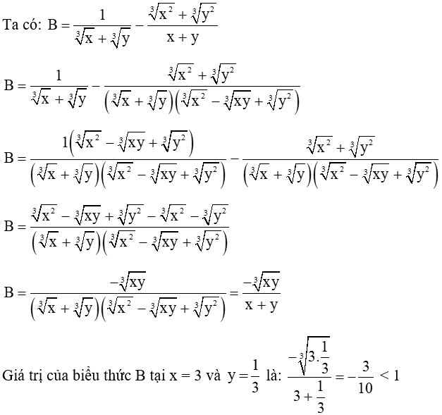
Đối với căn bậc ba, công thức sẽ dựa trên hằng đẳng thức tổng hoặc hiệu hai lập phương. Lượng liên hợp của (∛A - ∛B) là (∛A² + ∛(AB) + ∛B²). Việc thuộc lòng các dạng này sẽ giúp bạn rút ngắn đáng kể thời gian làm bài.
Mối quan hệ thú vị giữa toán học và các lĩnh vực khác
Bạn có biết nhân liên hợp tiếng anh là gì không? Trong tiếng Anh thuật ngữ này được gọi là Conjugate multiplication. Nó không chỉ xuất hiện trong sách giáo khoa toán học của Việt Nam mà còn là ngôn ngữ chung của giới khoa học toàn cầu.

Việc hiểu rõ các thuật ngữ toán học bằng tiếng Anh sẽ giúp bạn dễ dàng tiếp cận với nguồn tài liệu phong phú trên thế giới. Qua đó mở rộng kiến thức và có thể tự tin tra cứu các tài liệu chuyên ngành phức tạp hơn.

Đôi khi người ta hay nhầm lẫn các thuật ngữ do cấu trúc từ ngữ tương đồng. Ví dụ như khi tìm kiếm từ khóa liên hợp nhiều người lại tò mò hội đồng nhân quyền liên hợp quốc là gì. Tuy nhiên đây là một tổ chức quốc tế chuyên bảo vệ các quyền cơ bản của con người hoàn toàn không liên quan đến lĩnh vực toán học mà chúng ta đang bàn luận.

Đây là một lưu ý nhỏ mà Bạn cần biết để tránh nhầm lẫn khi tra cứu thông tin trên mạng internet.
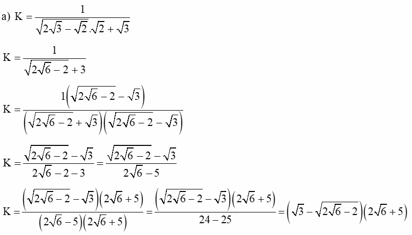
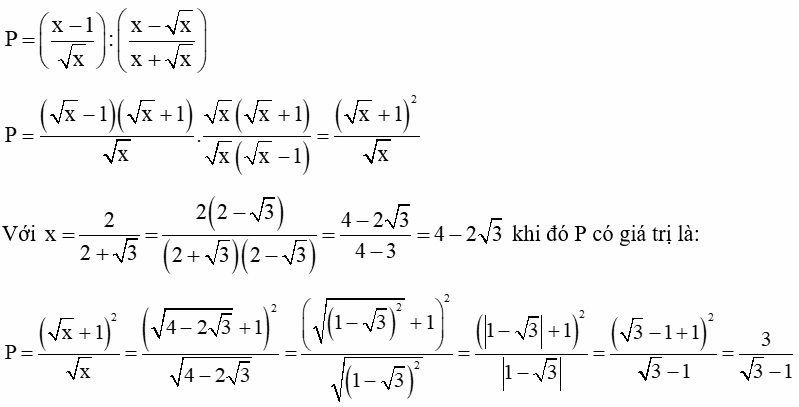
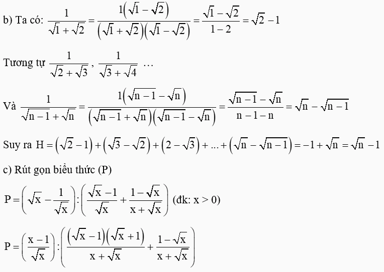
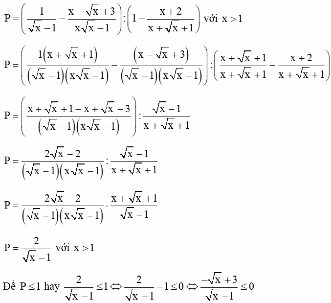
Hướng dẫn ứng dụng phương pháp nhân liên hợp vào giải bài tập
Để thành thạo phương pháp này bước đầu tiên là bạn cần nhận diện đúng dạng bài toán. Nếu phương trình chứa căn có nghiệm đặc biệt ví dụ x=a hãy nghĩ ngay đến việc tạo ra nhân tử (x-a).

Tiếp theo thực hiện trừ đi một hằng số hoặc một biểu thức thích hợp để khi nhân với lượng liên hợp ta thu được chính xác nhân tử chung mong muốn. Cuối cùng tiến hành đánh giá phần còn lại của phương trình xem nó luôn dương hoặc luôn âm hay không để kết luận nghiệm.

Quá trình này đòi hỏi sự luyện tập thường xuyên để hình thành phản xạ. Đừng nản lòng nếu những lần đầu bạn chưa tìm ngay được lượng liên hợp phù hợp nhé.
Những lưu ý quan trọng khi sử dụng kỹ thuật liên hợp
Mặc dù là một công cụ đắc lực nhưng kỹ thuật này cũng có những hạn chế nhất định. Khi nhân cả tử và mẫu với lượng liên hợp bạn bắt buộc phải đặt điều kiện để lượng liên hợp đó khác không.
Bên cạnh đó nếu áp dụng không khéo léo việc nhân liên hợp có thể khiến bậc của phương trình tăng lên đột biến gây khó khăn cho các bước giải tiếp theo. Do đó hãy quan sát thật kỹ bài toán trước khi quyết định sử dụng phương pháp này.
Hy vọng qua bài viết này bạn đã nắm vững được bản chất của kỹ thuật nhân lượng liên hợp cũng như cách vận dụng nó vào thực chiến. Hãy làm thật nhiều bài tập để rèn luyện tư duy logic và kỹ năng biến đổi linh hoạt nhé!
Bài Viết Liên Quan
Bảo Vy – Chuyên gia cẩm nang du lịch với nhiều năm kinh nghiệm, chia sẻ bí quyết, hành trình và mẹo hay giúp bạn khám phá thế giới trọn vẹn nhất.