Nguyên hàm là gì và hướng dẫn tìm hiểu chi tiết từ cơ bản đến nâng cao
Khám phá khái niệm nguyên hàm là gì, định nghĩa, tính chất và bảng công thức nguyên hàm chi tiết nhất. Xem ngay bài viết để nắm vững kiến thức toán học quan trọng này!
Trong chương trình Toán giải tích lớp 12, một trong những chủ đề nền tảng và thường xuyên xuất hiện trong các kỳ thi chính là nguyên hàm. Để hiểu rõ Nguyên hàm là gì, chúng ta cần đi từ những định nghĩa cốt lõi nhất. Hãy cùng khám phá chi tiết khái niệm này qua bài viết dưới đây nhé.
Giải thích chi tiết khái niệm nguyên hàm là gì dễ hiểu nhất
Nguyên hàm là gì của đạo hàm là câu hỏi thường gặp đối với các bạn học sinh mới tiếp xúc với giải tích. Nói một cách đơn giản, nguyên hàm chính là phép toán ngược lại của quá trình tính đạo hàm. Nếu đạo hàm giúp chúng ta tìm tốc độ biến thiên của một đại lượng, thì nguyên hàm giúp ta tìm lại đại lượng đó khi đã biết tốc độ biến thiên của nó.
Vậy nguyên hàm là gì đạo hàm là gì và chúng có mối liên hệ như thế nào. Giả sử ta có một hàm số f(x) xác định trên một khoảng K. Hàm số F(x) được gọi là nguyên hàm của f(x) trên K nếu đạo hàm của F(x) bằng f(x), tức là F'(x) = f(x) với mọi x thuộc K.
Để hiểu rõ hơn nguyên hàm là gì ví dụ cụ thể sau sẽ giúp bạn. Xét hàm số f(x) = 2x. Ta thấy rằng đạo hàm của hàm số F(x) = x^2 là F'(x) = 2x. Do đó, F(x) = x^2 chính là một nguyên hàm của hàm số f(x) = 2x.

Khái niệm họ nguyên hàm là gì và tính chất cơ bản
Nhiều người thắc mắc nguyên hàm là gì họ nguyên hàm là gì khi học về chủ đề này. Quay lại ví dụ trên, ngoài F(x) = x^2, các hàm số như x^2 + 1, x^2 - 5 cũng có đạo hàm bằng 2x. Tổng quát lên, với C là một hằng số bất kỳ, hàm số F(x) + C đều là nguyên hàm của f(x). Tập hợp tất cả các nguyên hàm này được gọi là họ nguyên hàm của f(x) và ký hiệu là ∫f(x)dx = F(x) + C.
Bạn cũng có thể tò mò nguyên hàm là gì tiếng anh được gọi như thế nào. Trong tiếng Anh, nguyên hàm thường được gọi là Antiderivative hoặc Indefinite Integral. Việc nắm bắt các thuật ngữ tiếng Anh giúp bạn tra cứu tài liệu quốc tế dễ dàng hơn.

Phương pháp tìm nguyên hàm phổ biến hiện nay
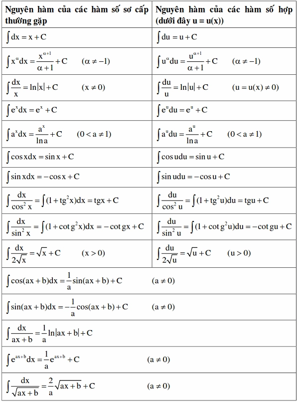
Để giải quyết các bài toán nguyên hàm, học sinh cần nắm vững các phương pháp cơ bản. Bạn có thể quay lại Trang chủ để tìm kiếm thêm các bài giảng liên quan. Phương pháp đầu tiên là sử dụng bảng nguyên hàm cơ bản và các tính chất để biến đổi biểu thức về dạng quen thuộc.
Phương pháp thứ hai thường được áp dụng là phương pháp đổi biến số. Kỹ thuật này giúp chuyển đổi một tích phân phức tạp thành một biểu thức đơn giản hơn bằng cách đặt một biến mới u = g(x).

Bảng công thức nguyên hàm lượng giác cần ghi nhớ
Bên cạnh các hàm đa thức thì hàm số lượng giác cũng đóng vai trò vô cùng quan trọng. Việc ghi nhớ các công thức này là Bạn cần biết để đạt điểm cao.
Nguyên hàm của các hàm sin(x), cos(x) hay tan(x) đều tuân theo những quy luật nhất định. Ví dụ nguyên hàm của cos(x) là sin(x) + C, trong khi nguyên hàm của sin(x) là -cos(x) + C.


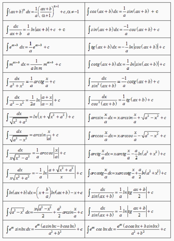
Tổng hợp các công thức nguyên hàm mở rộng nâng cao
Sau khi thành thạo các công thức cơ bản, học sinh cần tiếp cận với các công thức nguyên hàm mở rộng. Đây là những công thức được suy ra từ các quy tắc đạo hàm của hàm hợp.
Việc sử dụng thành thạo các công thức mở rộng giúp rút ngắn thời gian làm bài đáng kể. Thay vì phải thực hiện đổi biến số nhiều bước, bạn có thể áp dụng trực tiếp công thức nếu nhận diện đúng dạng toán.


Cách học và ghi nhớ các công thức giải tích hiệu quả
Toán giải tích chứa đựng một lượng lớn kiến thức cần ghi nhớ. Để học tốt phần này, ngoài việc hiểu bản chất khái niệm, bạn cần thường xuyên thực hành giải bài tập.
Việc lập bảng tóm tắt kiến thức hoặc sơ đồ tư duy sẽ giúp não bộ ghi nhớ thông tin một cách có hệ thống. Hãy bắt đầu từ những bài tập cơ bản rồi mới tiến dần lên các mức độ khó hơn.


Ứng dụng thực tế của nguyên hàm trong giải toán
Khái niệm nguyên hàm không chỉ dừng lại ở lý thuyết mà còn là nền tảng cốt lõi để tính tích phân. Tích phân có nhiều ứng dụng quan trọng như tính diện tích hình phẳng, thể tích khối tròn xoay.
Nắm vững nguyên hàm là chìa khóa để giải quyết trọn vẹn chuyên đề giải tích lớp 12. Hãy kiên trì rèn luyện, bạn sẽ thấy toán học không hề khô khan mà rất logic và thú vị.

Hy vọng qua bài viết trên, bạn đã có câu trả lời thỏa đáng cho những thắc mắc xoay quanh khái niệm này. Việc hiểu rõ bản chất toán học sẽ tạo động lực lớn giúp bạn tiếp thu kiến thức một cách tự nhiên và sâu sắc nhất.
Bài Viết Liên Quan
Hoài Lam là một tác giả say mê nghiên cứu văn hóa tín ngưỡng, thường xuyên chia sẻ hình ảnh đền chùa cổ kính, lan tỏa giá trị tâm linh và gìn giữ nét đẹp truyền thống Việt.